院况简介
1949年,伴随着新中国的诞生,中国科学院成立。
作为国家在科学技术方面的最高学术机构和全国自然科学与高新技术的综合研究与发展中心,建院以来,中国科学院时刻牢记使命,与科学共进,与祖国同行,以国家富强、人民幸福为己任,人才辈出,硕果累累,为我国科技进步、经济社会发展和国家安全做出了不可替代的重要贡献。 更多简介 +
院领导集体
创新单元
科技奖励
科技期刊
工作动态/ 更多
中国科学院学部
中国科学院院部
语音播报
螺旋度的定义是速度与涡量的标量积,螺旋湍流指平均螺旋度或局部螺旋度不为0的湍流流动状态,广泛存在于龙卷风、台风等自然现象及航空发动机、离心泵等旋转机械流动中。螺旋度守恒性定理为系统研究三维湍流的时空演化提供新的研究方向。作为三维湍流仅有的两个二次无粘不变量之一(另一个为动能),Noether定理决定螺旋度具有时空多尺度分布和多尺度多方向手性间的传输特征。
中国科学院力学研究所可压缩转捩与湍流课题组副研究员于长平等长期致力于螺旋湍流的理论及数值模拟研究工作,以螺旋度为视角,在揭示湍流物理本质、建立大涡模拟模型等研究中取得进展。
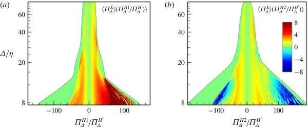
在湍流级串理论方面,研究首次发现螺旋度级串具有双通道效应,该理论丰富和完善湍流级串的涡动力学过程,以新的视角解释能量反级串问题;针对湍流经典级串理论未考虑镜像破却的问题,发展出螺旋湍流的尺度局部性理论,证实在镜像破却条件下湍流小尺度流动具有普适性的规律等;突破压力破坏方程守恒性的障碍,发展出可压缩螺旋湍流动能与螺旋度的联合级串理论,理论上证明基于螺旋度建立的大涡模拟模型可采用更少的计算网格量等。
在大涡模拟模型/方法研究方面,研究人员基于湍流中螺旋度相关基础理论,推导出新的大涡模拟模型(HM),该模型具有转捩/湍流自适应模拟的特点。目前,该大涡模拟模型已应用于高超声速飞行器中边界层转捩/湍流问题、热核聚变中的界面不稳定性导致湍流混合等流动问题中。
相关研究成果发表在J. Fluid Mech.,Phys. Fluids,Phys. Rev. E,Phys. Rev. Fluids等期刊上。研究工作得到国家自然科学基金湍流重大研究计划重点项目和国家重点研发计划的支持。

图1.基于螺旋度第一通道(a)和第二通道(b)的能流条件平均,蓝色部分表示能量反级串

图2.动能(a)与螺旋度(b)的尺度传输函数系综平均在不同尺度的分布

图3.可压缩平板边界层流动亚格子涡粘系数分布

图4.球形界面RM不稳定性湍流混合宽度随时间演化分布
© 1996 - 中国科学院 版权所有 京ICP备05002857号-1
京公网安备110402500047号 网站标识码bm48000002
地址:北京市西城区三里河路52号 邮编:100864
电话: 86 10 68597114(总机) 86 10 68597289(总值班室)
© 1996 - 中国科学院 版权所有 京ICP备05002857号-1
京公网安备110402500047号 网站标识码bm48000002
地址:北京市西城区三里河路52号 邮编:100864
电话: 86 10 68597114(总机) 86 10 68597289(总值班室)
© 1996 - 中国科学院 版权所有
京ICP备05002857号-1
京公网安备110402500047号
网站标识码bm48000002
地址:北京市西城区三里河路52号 邮编:100864
电话:86 10 68597114(总机)
86 10 68597289(总值班室)








